11- Août 2023.. c''est surtout valable à tout moment, annoté ou rectifié par nos chefs de pupitre et chefs de choeur !
10- Oh !...c'est le 25 JANVIER 2018 ..
A propos de la notation "OPUS n°..." qui accompagne souvent la présentation des oeuvres que le choeur travaille ;
en musique "classique", c'est l' ORDRE de PRODUCTION du compositeur,( par extension, parfois ordre de publication),
qui est donné : exemple STABAT MATER op 58 d'Antonin Dvorak.
...Vous connaissez probablement déjà cette lecture.
9- Le 15 juin 2010 :
POINT et DOUBLE POINT
* Placé après une note, le point augmente la valeur simple de celle-ci de la moitié de sa
durée primitive.
Exemple : 1 blanche vaut 2 noires..., si elle est pointée, 3 noires...ce qui équivaut donc à
3/4 de la ronde !
- Valeur des notes pointées, soit "valeur composée d'une figure de note pointée" :
...etc...
- S'il s'agit de silences pointés (sauf le soupir..ce n'est pas l'usage), on retrouve le même
équilibre :
* Et le double point ?
Il existe un 1° point (valeur moitié de la note) ; puis le 2° point augmente cette note
de la moitié de la durée du 1° point.
Exemple :
* On pourrait ajouter un "3° point" (cas ci-dessus), un "4° point"...selon le même
schéma, ce qui est rare !
Ainsi le point permet d'obtenir des durées pour lesquelles les signes habituels
ne conviennent pas.
8- Le 14 juin 2010 :
L'ALTERATION modifie le son de la note qu'elle affecte ; il existe 3 altérations :
* Dans un morceau donné, l''altération se place devant la note qu'elle modifie, sur la ligne ou
l'interligne de la portée ; l''effet se poursuit sur les notes de même nom de la mesure,
c'est une " altération accidentelle".
* Ou , dans une partition, l'"altération à la clef", au commencement de la portée, concerne
toutes les notes de même nom quelle que soit l'octave.
* Et il y a aussi les "doubles"...:
...l'effet de ces 2 altérations est annulé par le bécarre ( l'un ou l'autre, ou les 2 effets).
7- Le 10 mars 2010 : LIAISON RYTHMIQUE ( de durée)? LIAISON D'EXPRESSION ?
* On dit qu'il y a liaison rythmique, de durée, lorsqu'un lien, matérialisé par
un trait courbe, unit 2 notes ( ou plusieurs notes consécutives ),
de même son (même hauteur) , presque toujours de même
nom, quelque soit leur durée.
- Les notes sont liées , la valeur de la 1° et de la 2° note s'ajoutent :
- Et voici plusieurs notes consécutives liées, leurs valeurs s'ajoutent :
* La liaison ou "coulé", placée entre 2 (ou plusieurs) notes de sons différents (hauteurs
différentes ) , est un signe d'interprétation :
- Il faut alors lier les notes, (trait courbe) , en soutenir le son.
- Si la 2° a une valeur plus courte que la 1°, il faut appuyer la 1° et laisser expirer la 2° :
* Les 2 types de liaisons sont présentées ci-dessus ; la liaison rythmique est indispensable pour
obtenir des durées pour lesquelles les signes habituels ne peuvent convenir.
Le point est une autre solution pour résoudre ce problème, et sera étudié plus loin.
6- Le 22 novembre 09 : DE LA SYNCOPE , DU CONTRE-TEMPS.
Dans un morceau, le rythme musical est l'ordre plus ou moins caractéristique dans lequel se
présentent les sons et la durée, principaux éléments de la phrase musicale...et ceci relève de
la COMPOSITION.
Le rythme peut-être d'une très grande richesse, est parfois plus évident que le contour
mélodique ; on pourrait dire qu'il est aussi le dessin que les différents sons viennent colorer..
Deux formes rythmiques sont particulièrement importantes :
- LA SYNCOPE ajoute une dynamique au rythme :
* Il y a syncope quand une ou plusieurs notes sont accentuées sur des temps faibles, ou sur
la partie faible d'un temps, et prolongées sur un temps fort ou partie forte d'un temps.
Exemple de sons articulés sur le 2° et 4° temps (faibles), et prolongés sur le 1° et le 3°temps
(forts).
...une régularité de base perceptible, puis rythme de la partie syncopée : déplacement sur le
temps fort.
* La syncope est irrégulière si les deux parties n'ont pas la même durée :
- LE CONTRE-TEMPS est une forme rythmique très employée, en particulier dans les
accompagnements :
* Le son est articulé sur le temps faible (ou sur la partie faible d'un temps), le temps fort
(ou la partie forte d'un temps) est occupé par un silence :
* Le contre-temps peut être irrégulier :
* L'exemple très connu est celui du "reggae" jamaïquain, caractérisé par la présence très
forte des accords sur les temps faibles, les chops !..
5- Le 17 juin 09 : et le CARACTERE du morceau, (ou de l'une de ses parties) ?
Il est tracé par le compositeur, dans sa volonté d'exprimer les sensations qu'il veut communiquer
à celui qui écoute, à celui qui interprète.
Les termes placés en début de mouvement (ou dans le courant du morceau) , et joints à ceux de
mouvement éventuellement, sont par exemple :
-amabile, aimable
-amoroso, amoureux
-appassionato, passionné
-brillante, brillant
-capriccioso, capriccioso
-dolce, doux
-expressivo,expressif
-nobile, noble
-religioso, religieux...
S'il s'agissait de couleur, ce serait la teinte donnée à l'expression du morceau;
De nouvelles modifications sont possibles, de mouvement et de caractère, avec les adverbes :
poco (peu) , piu (plus) ,."non troppo" ?
4- Le 10 juin 09 : ... DES NUANCES...
*Les sons d'un morceau de musique (un son, plusieurs, l'ensemble du morceau) passent par différents
degrés de force : ce sont les nuances.
*Le son peut être fort, ou faible ; l'intensité peut varier, selon des gradations connues pour certaines...
et simplement :
-pianissimo,pp, très faible
-piano, p, faible
-mezzo piano, mp, moyennement faible
-sotto voce, murmuré
-mezza voce, à mi-voix
-mezzo forte, mf, moyennement fort
-forte, f ,fort
-fortissimo, ff, très fort...
*L'augmentation, la diminution du son peuvent être progressives ; les signes de ces variations ?

Les termes ?
-crescendo, cresc, en augmentant
-decrescendo, decresc, en décroissant
-diminuendo, dim, en diminuant
-smorzando, smorz, en laissant éteindre le son...
... les nuances sont "oppositions d'ombre et de lumière".
3- Le 1° juin 09 : "LEGATO ? STACCATO ?"
*Bien "phraser", ponctuer un morceau de musique, c'est éclairer toutes les parties d'une composition, cela
fait partie de l'expression.
Dans la phrase musicale, des notes vont être accentuées, infléchies, avec plus ou moins de force pour
donner du relief.
*Les signes d'accentuation sont essentiellement :
-"Legato" : la liaison ou coulé, indique qu'il faut jouer les notes liées les unes aux autres, et en soutenir le
son ; les attaques sont allégées.
Si la liaison est placée entre 2 notes de sons différents, la valeur de la seconde est plus courte que la
première. (A ne pas confondre avec la liaison de durée ).
-"Staccato" : le point est placé au dessus ou au dessous des notes qui doivent être détachées ; elles
le seront plus ou moins selon le mouvement.
*Certains termes d'accentuation ne vous sont pas inconnus :
-forte piano, fp, attaque forte suivie de la nuance piano
-legato, Leg, lié
-marcato, Marc, marqué
-sforzando, Sfz, en donnant plus de force tout à coup
-sostenuto, Sost, le son bien soutenu
-staccato, Stacc, détaché.
*Le signe > placé au-dessus ou en dessous des notes indique : accentuation forte, et immédiatement
diminution de sonorité.
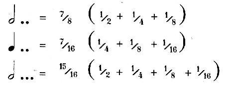
2- Le 25 mai 09 : à propos de la DUREE DES SILENCES.
*Un simple rappel : les "figures de notes", et la "ronde" comme unité de valeur =1
*Les silences sont des signes qui indiquent l'interruption du son dans la mesure, 7 " figures de silences" expriment la durée plus ou moins longue de cette interruption.
*La pause représente la durée la plus longue...et selon les rapports de durée :
-la pause vaut 2 demi-pauses, ou 4 soupirs, ou 8 demi-soupir, ou 16 quarts de soupir...etc
-la demi-pause vaut 2 soupirs, ou 4 demi-soupirs, ou 8 quarts de soupir ou 16 huitièmes...
-le soupir vaut 2 demi-soupirs, ou 4 quarts de soupir, ou 8 huitièmes de soupir, ou 16 seiz...
-le demi-soupir vaut 2 quarts de soupir, ou 4 huitièmes de soupir, ou 8 seizièmes de soupir.
-le quart de soupir vaut 2 huitièmes de soupir, ou 4 seizièmes de soupir.
-le huitième de soupir vaut 2 seizièmes de soupir.
-le seizième de soupir
*Le rapport de durée entre les notes et les silences : chaque "figure de silence" a une durée correspondant à une "figure de note",
et sur un exemple, en photo, tout devient simple !
1- Le 18 mai 09 : à propos du MOUVEMENT.
* Le mouvement est le degré de lenteur ou de vitesse dans lequel s'exécute un morceau de musique.
C'est le mouvement qui détermine la durée absolue des différents signes (notes,silences) qui ont entre eux une valeur relative (ex:la blanche
vaut la moitié de la ronde).
* Les principaux mouvements:
| Terme | Signification |
| largo | large,lent |
| larghetto | un peu moins lent que largo |
| lento | lent |
| adagio | un peu moins lent que lento |
| andante | modéré (allant) |
| andantino | un peu moins lent que andte |
| allegretto | un peu moins vif que allegro |
| allegro | gai,vif |
| presto | très vif |
| prestissimo | extrêmement vite |
..ceci est à compléter par le caractère, expression du morceau.
*L'expression d'une phrase musicale peut vouloir modifier le mouvement, animé ou ralenti.
Les altérations du mouvement ou de la mesure deviennent :
-pour animer : animato (animer), accelerando (en accélérant)
-pour ralentir : rallentendo (rall, en ralentissant), ritardando (ritard, en retardant), ritenuto (rit, en retenant)
Après une altération, le retour au mouvement régulier s'exprime par tempo, a tempo (au mouvement).
La suspension du mouvement, de durée indéterminée, s'exprime par le signe du point d'orgue.
ps: la présentation n'est pas exhaustive , elle correspond à ce que nous avons déjà vu.